Open Access, Volume 8

Kav2-6, an optimized bioactivity of Kavain analogue

Thuraya Elgreu

Henry M. Goldman School of Dental Medicine, Department of Periodontology, Boston University, 650 Albany Street, Boston, MA, USA.
Email: tne@bu.edu

Received : August 04, 2022, Accepted : September 05, 2022
Published : September 09, 2022, Archived : www.jclinmedcasereports.com

TNF-α is an important cytokine mediator of inflammation, which can implicate that inhibition of TNF activity may provide a potential clinical application. Our recent data indicates that treatment of both human and mouse cells with Kavain significantly modulate P. gingivalis- or LPS-induced TNF-α expression. In order to obtain a selective analog with optimized biological activity of Kavain, we designed and synthesized Kavain analogs. Kav2-6 is one of these analogs, which has a much stronger biological function in vitro and in vivo experiments such as Collagen Antibody Induced Arthritis, or Endotoxic Shock.

Keywords: Kavain analogue; Biological function; Collagen antibody induced arthritis; Endotoxic shock.

Copy right Statement: Content published in the journal follows Creative Commons Attribution License (http://creativecommons.org/licenses/by/4.0). © Elgreu T (2022)

Journal: Open Journal of Clinical and Medical Case Reports is an international, open access, peer reviewed Journal mainly focused exclusively on the medical and clinical case reports.

Citation: Elgreu T. Kav2-6, an optimized bioactivity of Kavain analogue. Open J Clin Med Case Rep. 2022; 1902.

TNF-α is an important cytokine mediator of inflammation and can be induced in response to inflammatory stimuli such as P. gingivalis and LPS in various cell types [1,2]. The regulation of TNF-α gene expression in cells of monocytic lineage is complex and stimulus-dependent, involving controls at the transcriptional level [3]. However, the relative contribution of these regulatory elements is poorly understood.

The inhibition of TNF activity by some inhibitors successfully suppresses TNF-α-mediated disease activities [4,5] and may lead to clinical remission. Thus, the anti-immunogenic potential of the TNF-α inhibitors have been widely studied. Our previous data indicated that treatment of both human and mouse cells with an appropriate dose of Kavain significantly modulates P. gingivalis/LPS-induced TNF-α expression [6,7].

Kavain has been known for its therapeutic properties for several decades [8-12], and its antiinflammatory action has been widely studied [13,14]. It was also found that Kavain affects TNF-α transcriptional regulation [15]. In hindsight, we recently found that Kavain possesses a slight potential for toxicity to mammalian cells, probably due to its naturally occurring heterocyclic compound with additional benzene ring side chain.

We hypothesize that the Kavain may function with increased efficacy in conjunction with the appropriate modification of their chemical structure. In this paper, we designed and synthesized Kavain analogs and found one Kavain analogue (named Kav2-6) that significantly reduced LPS-induced TNF-α production by 87% and did not induce any significant toxicity compared to the controls. Furthermore, in vivo experiments using CAIA animal model or anti-endotoxic shock have confirmed that Kav2-6-simulated a similar phenomenon, which we have observed in vitro.

Animals and cells

Week-old WT (C57BL/6) mice (Jackson Labs) were maintained under strict Specific Pathogen-Free (SPF)conditions. All protocols were approved by the Boston University Institutional Animal Care and Use Committee and were performed in compliance with the relevant animal care and use laws and institutional guidelines. Mouse Bone Marrow Macrophage (BMM) from WT mice were cultured in a RPMI-1640 media (Cat#: 11875–093, Life Technologies, NY) with 10% FBS at 37°C in a 5% CO2 atmosphere.

ELISA

The treated media from BMM (collected from WT mice) or THP-1 cells were subjected to ELISA for TNF-α detection with the kit Cat#:KMC30110 (Invitrogen) or Bcl6 detection with the kit KA2605 (Abnova). ELISA immune reactivity was quantified using a micro plate reader (Model 680, Bio-Rad). The data were analyzed and then graphed.

Endotoxic shock assay

8–12 week old, weight-matched wild-type mice (n = 5) weighing 20–25 g were injected intraperitoneally (i.p.) with 5 x 108 P.g/mouse, and then immediately underwent an oral gavage of 100µg/ mouse Kavain or Kav2-6 or 100 µl DMSO as control. The treated mice were maintained in a normal light cycle room and provided with free access to rodent chow and water. The mice were regularly monitored for their behavior and mortality every hour. The survival time of each treated mouse was recorded, and a graph was made based on the results.

Cytotoxicity tests

A Cell Counting Kit-8 (CCK-8) assay (Dojindo Laboratories, Kumamoto, Japan) was used to measure the cytotoxicity of treated mouse BMM by following manufacturer’s instructions.

Compounds

Kavain as positive control was purchased commercially (Cat#500-64-1, AvaChem Scientific) and Kavain analogs were design by our lab and synthesized by the Boston University Chemical Instrumentation Center. The purity of all Kavain analogs were determined to be >95% by UPLC-MS. The chemical compounds of Kavain and Kav2-6 were prepared immediately before conducting the experiment. All compounds were dissolved in DMSO and adjusted to 10 µg/µl as the stock concentration.

Collagen Antibody Induced Arthritis (CAIA) mouse model

All mice (n=5) were pretreated with ArthritoMab (Cat# CIA-MAB-2C, MD Bioproducts) on the first day, and then mice underwent oral gavage with 100 µl DMSO or different concentration of Kav2-6 (5, 15, or 30 mg/kg Kav2-6 dissolved in a 100 µl DMSO) as negative control group. As the positive control group, mice were oral gavaged with 100µl of 1x108 P.gingivalis (cells were suspended in 2% Carboxymethyl Cellulose). In the testing groups, the mice were oral gavaged with 100µl of 1x108 P. gingivalis and 30mg/kg of Kavain (dissolved in a 100µl DMSO), or mice were oral gavaged with 100µl of 1x108 P. gingivalis plus 5, 15, or 30mg/kg of Kav2-6. All mice above were treated once/day for a period of 3 days. The paws of the mice were monitored for arthritis development daily for 12 days by observing and recording the redness and swelling of paws. The arthritic paws were imaged and further analyzed. The data was analyzed using paired t-test with unequal variance using comparisons of control groups at each time point versus experimental groups.

Statistical analysis

All experiments were performed in triplicate and statistical analyses were conducted with the SAS software package. All data was normally distributed. For multiple mean comparisons, we conducted Analysis Of Variance (ANOVA), while we used the Student’s t-test for single mean comparison. For time-course study, we used a two-way repeated measure ANOVA. P values less than 0.05 was considered significant.

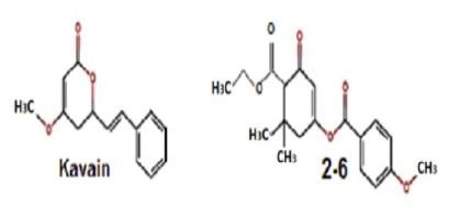
Biochemical screening of Kava Analogs

Our recent data indicated that Kavain inhibited P.gingivalis/LPS-induced TNF-alpha expression; hence were interested in the medicinal chemistry and biochemical screening efforts, to obtain selective analogs of Kavain with an optimized bioactivity and physico-chemical properties. As shown in figure 1, we designed more than twenty kavain analogues and finally selected Kav2-6 with its different chemical structures from Kavain.

Figure 1: The chemical structures of Kavain and Kav2-6 are illustrated

Inhibition of LPS-induced TNF-α by Kav2-6

Furthermore, we examined whether these compounds of Kavain analogs inhibited LPS-induced TNF-α production in BMM. As shown in Figure 2, treatment with Kav2-6 in BMM reduced LPS-induced TNF-α production to 13%, which was more reduction than the corresponding Kavain treatment (28%).

It suggested that Kav2-6 retained and reflected the major biological functions of Kavain.

To detect the efficacy of prolonged period for Kav2-6, BMM were co-treated with LPS plus Kavain as a control or with Kav2-6 as test group for either 1 hour (black bars, group 1) or 4 hours (grey bars, group 2). TNF-α was detected using the supernatant from each group utilizing ELISA. As shown in figure 3, treatments of Kav2-6 along with Kavain reduced LPS-induced TNF-α production.

However, during extended time upto 4 hours, only treatment of Kav2-6 maintained a stable efficacy to inhibit LPS-induced TNF-α production, suggesting that the efficacy of Kav2-6 is superior in comparison to Kavain.

Figure 2: : ELISA assay. The mouse BMM cells were treated with DMSO as negative control or LPS (0.1 µg/ml) as positive control. Cells were treated with 100 µg/ml of compound (Kavain or Kav6-2) for 1 hour, and then added with 0.1 µg/ml LPS for another one hour. After washing by PBS, cells were added with fresh medium and 100 µg/ml of Kavain or Kav6-2 overnight. The medium from each group was assessed by ELISA with antibody against TNF-α.

Figure 3: Analysis of efficacy. The mouse BMM were treated with DMSO as negative control or LPS (0.1 µg/ml) as positive control. Cells were co-treated with 100 µg/ml of Kavain or Kav6-2 with an addition of 0.1 µg/ml LPS for 1 hour or 4 hours respectively. After washing with pBS, cells were added with fresh medium and 100 µg/ml of Kavain or Kav6-2 overnight. The medium from each group was assessed by ELISA with antibodies against TNF-α.

Analysis of the toxicity of Kav2-6

We previously demonstrated that Kavain has minimal toxicity to cells. Our investigations with Kav2- 6 revealed that, indeed alleviated the Kavain-induced with minimal toxicity. As shown in figure 4, after treatment of mouse BMM with these compounds for 4 hours, Kav2-6 did not induce a significant level toxicity when compared to the control (treated by Kavain).

Analysis of Kav2-6 mediated biological function

To examine the biological function of Kav2-6, dose-course analysis for Kav2-6 (Figure 5) or for LPS (Figure 6) was performed. As shown in Figure 5, an increase of Kav2-6 concentration from 2 µg/ml to200 µg/ml (Figure 5, No.6-8) in LPS-pretreated mouse BMM reduced LPS-induced TNF-α levels when compared with the treatment of Kavain (Figure 5, No.3-5). Surprisingly, an increase of LPS concentration from 0.1 µg/ml to 0.4 µg/ml (Figure 6, No.3-5) was capable of counteracting Kavain-mediated inhibition of TNF-α. However, this phenomenon was not observed when Kav2-6 was utilized (Figure 6, No.6-8). It suggested that Kav2-6 is an ideal inhibitor of TNF-α in comparison to Kavain.

Figure 4: Toxicity assay. The mouse BMM were either untreated or treated with 0.1 µg/ml LPS, DMSO, 100 µg/ml Kavain or 100 µg/ml Kav2-6, or co-treated with0.1 µg/ml LPS plus 100 ug/ml Kavain or Kav2-6 for 3 hours. Cells werecontinuously added with CCK-8 (Sigma) for 2 hours following the manufactureprovided methods. The viable cells from each test group were measured at 450 nm using a Micro-Reader to determine their cells survival rate.

Figure 5: : Dose course. The mouse BMM were treated with DMSO or 0.25µg/ml LPS for 1 hour. Cells were washed with PBS, then fresh medium was added and treatedwith 2 µg/ml, 20 ug/ml or 200 ug/ml of Kavain, or with 2 µg/ml, 20 ug/mlor 200 ug/ml of Kav2-6 overnight. The treated medium from each group was assessed by ELISA with antibodies against TNF-α.

Figure 6: Effect of Kav2-6 on LPS induced TNF-α.The mouse BMM was treated with different concentration of LPS; 0.1 µg/ ml (lanes 3 & 6), 0.2 µg/ml (lanes 4 & 7), or 0.4µg/ml (lanes 5 & 8) for 1 hour. Cells were washed with PBS, then addition of fresh medium with 200 µg/ml Kavain (lanes 1, 3-5), or 200 µg/ml of Kav2-6 (lanes 2, 6-8) and kept overnight. The treated medium was collected and assessed byELISA with antibody against.

CAIA or endotoxic shock analysis

The biological function of Kav2-6 detected in vitro was further confirmed by an in vivo assay of CAIA mouse model (Figure 7) or endotoxic shock (Figure 8). As shown in Figure 7, an abnormal swelling in the forepaws or hind palm of mouse was clearly observed after treatment of P.gingivalis. However, P.gingivalis induced swelling in the paws/palm of mouse was significantly reduced after mice were oral gavaged with Kav2-6 in comparison to the control. The clinical score showed the results consistent with the observed phenomenon.

Figure 7: CAIA animal model. All mice (n=5) were i.p. injected with ArthritoMab (Cat# CIA-MAB-2C, MD Bioproducts) one day prior, the mice were then respectively oral gavaged with 1mg/kg Kav2-6 (dissolved in a 100µl DMSO) once/day for 5 days as negative control group. Mice were respectively gavaged once/day for 5 days with 100µl of 5x108P.g. (suspended in 2% Carboxymethyl Cellulose) as the positive control group. Mice were respectively oral gavaged with 100µl of 5x108P.g. (suspended in 2% Carboxymethyl Cellulose) and 1mg/kg Kav2-6 (dissolved in a 100µl DMSO) once/day for 5 days as the test group. Forepaws/hind palm of the treated mice were monitored for arthritis development daily for 12 days by evaluating the redness and swelling. Their arthritis of paws/palm were imaged (A). The clinical evaluation of their paws were further analyzed (B). p≤0.05 values have been generated using t-test comparing the control group at each time point.

Figure 8: Endotoxic shock test.Age-matched male mice (n = 5) were untreated (A) or oral gavaged with 100µl of Kav2-6 alone (5 mg, 15 mg, or 30 mg/kg Kav2-6 suspended in 2% Carboxymethyl Cellulose, B-D) as control. Mice were i.v. injected with P.g alone (1 x 108/mouse, E) as the positive control, or co-treated with i.v. injection of P.g (1 x 108/mouse) with an oral gavage feeding of 100µl of Kav2-6 (5mg, 15mg, or 30mg/kg suspended in 2% Carboxymethyl Cellulose, F-H). Mice were then monitored for their survival/mortality every hour in a day for a period of 4 days. The survival time of each treated mouse was calculated and graphed.

To investigate whether treatment with an appropriate dose of Kav2-6 can protect animal from P.gingivalis treatment, an endotoxic shock assay was conducted. Mice were gavaged with DMSO (Figure 8, panel A) or different concentrations of Kav2-6 alone (panels B-D) as the negative control, or i.p. injected with a lethal number of P.g (5 x 108 cells/mouse, panel E) as the positive control, or co-treated with Kav2-6 (5 mg/kg, 15 mg/kg, or 30 mg/kg) immediately incorporating an i.p. injection of P.g (5 x 108 cells/mouse, panels F-H) as a test group. Treated mice were then monitored for their behavior and mortality every hour. As shown in figure 8, mice show normal levels of behavior by Kav2-6 alone treatment (panels B-D), and all mice in this test group were dead within 24 hours due to i.p. injection with lethal dose (panel E). However, four of five mice were still alive for 96 hours, which received co-treatment of P.g in conjunction with 30 mg/ kg of Kav2-6 (panel H). This suggests that Kav2-6 provided treated mice with a significant resistance to P.g induced endotoxic shock probably by inhibiting the subsequent rise in TNF-α production [16].

Kavain was found to affect TNF-α transcriptional regulation pathway [6,7].To obtain the optimized scaffolds from Kavain, we had designed, synthesized and examined some Kavain analogs in this paper. One Kavain analogue (Kav2-6) was found to significantly suppress LPS-induced TNF-α production in BMM cells. Treatment of Kav2-6 in other cells such as mouse RAW cells or human monocyte-like cells (THP-1) also showed reduction of LPS-induced TNF-α production (data not shown). Compared with Kavain, Kav2-6 has much stronger biological function in vitro and in vivo experiments such as CAIA or endotoxic Shock, suggesting that Kav2-6 possesses optimized bioactivity and physico-chemical property with a modified chemical structure of Kavain.

DMSO is known to be widely used as reagent solvent but sometimes causes a slight toxic effect to mammalian cells [17]. We found that Kav2-6 is not dissolved in water as well but, can be dissolved in low concentration of DMSO (10%, diluted with water/pBS, data not shown) while Kavain is only dissolved in the higher concentration of DMSO (≥25%, data not shown). It may be a plausible reason why Kav2-6 and some other analogues show relatively low toxicity to BMM compared to Kavain. We therefore hypothesized if the chemical structure of Kavain analogue is modified with a hydrophilic side chain to provide alterations of the heterocyclic compound of Kavain it may not only prevent the analogue from DMSO-mediated toxicity to cells but also maintain a longer period of efficacy. Our most recent data support this potential hypothesis [18].

Regarding the mount of compound used in the treatment of mice, we selected oral gavage with an increased dosage of compound rather than i.v. or i.p. injection. For the reason of 1) ease of processing, 2) repeatability, 3) stability (for example, a careless or an inappropriate treatment of mice by i.v. injection may cause serious injuries or death of mice, that affects accurate collection/analysis of data from in vivo experiments such as CAIA or endotoxic shock assay).

Our preliminary data also show that the treatment of Kav2-6 significantly reduces LPS-induced neutrophil infiltration (data not shown). Since our previous data [7] show that My D88/LITAF is involved in Kavain-mediated signaling pathway, we hypothesized that the neutrophil infiltration of cells or mice may go through a similar pathway induced by different inhibitors. If this is potential and viable hypothesis, Kavain/Kav2-6 may be used for suppression of neutrophil infiltration induced by different stimuli or injury. Further research is required to address this hypothesis, which gives us insight for our future research.

We have demonstrated that the treatment of Kav2-6 in BMM significantly reduced LPS-induced TNF-α production with more biological efficacy and less cellular toxicity compared to the corresponding treatment of Kavain. Our present data show that Kav2-6 also suppresses P.g-induced CAIA/Endotoxic shock. Overall, our data here may serve as a foundation for future studies linking that Kav2-6 may be a valuable option to inhibit TNF-α driven model of inflammation /inflammatory diseases.

Author contributions: Thuraya Elgreu designed, instructed this study, drafted the manuscript; and analyzed the data.

Funding: None.

Statement: The methods and experiments involving human subjects or vertebrate animals in this paper have been proved by the Institutional Animal Care and Use Committee (IACUC), Boston University.

Acknowledgments: Not applicable.

Conflict of interest: Non-conflict of interest in the manuscript.

  1. Santegoets KCM, Wenink MH, Braga FAV, Cossu M, Lamers-Karnebeek FBG, et al. Impaired Porphyromonas gingivalis-Induced Tumor Necrosis Factor Production by Dendritic Cells Typifies Patients with Rheumatoid Arthritis. Arthritis Rheumatol. 2016; NJ68: 795-804.
  2. Tang, X, Metzger D, Leeman S, Amar S. LPS-induced TNF-α factor (LITAF)-deficient mice express reduced LPS-induced cytokine: Evidence for LITAF-dependent LPS signaling pathways. Proc Natl Acad Sci USA. 2006; 103: 13777-13782.
  3. Tang X, Fenton MJ, Amar S. Identification and functional characterization of a novel binding site on TNF-alpha promoter. Proc Natl Acad Sci USA. 2003; 100: 4096-4101.
  4. Gutiérrez-Pizarraya A, Leone M, Garnacho-Montero J, Martin C, Martin-Loeches I. Collaborative approach of individual participant data of prospective studies of de-escalation in non-immunosuppressed critically ill patients with sepsis. Expert Rev Clin Pharmacol. 2017; 10: 457-465.
  5. Theander L, Nyhäll-Wåhlin B-M, Nilsson J-A, Willim M, Jacobsson LTH, Petersson IF, et al. Severe Extraarticular Manifestations in a Community-based Cohort of Patients with Rheumatoid Arthritis: Risk Factors and Incidence in Relation to Treatment with Tumor Necrosis Factor Inhibitors. J Rheumatol. 2017; 44: 981-987.
  6. Tang X, Amar S. Kavain Inhibition of LPS-Induced TNF-α via ERK/LITAF. Toxicol Res.2016; 5: 188-196.
  7. Tang X, Amar, S. Kavain Involvement in LPS-Induced Signaling Pathways. J Cell Biochem. 2016; 117: 2272-2280.
  8. National Toxicology Program. Toxicology and carcinogenesis studies of kava kava extract (CAS No. 9000-38-8) in F344/N rats and B6C3F1 mice (Gavage Studies). Natl Toxicol Program Tech Rep Ser. 2012; 57: 1-186.
  9. Gardner DM. Evidence-based decisions about herbal products for treating mental disorders. J. Psychiatry Neurosci. 2002; 27: 324-333.
  10. Pollastri MP, Whitty A, Cassidy Merrill J, Tang X, Ashton TD, et al. Identification and characterization of kava-derived compounds mediating TNF-alpha suppression. Chem Biol Drug Des. 2009; 74: 121-12
  11. Baker JD. Tradition and toxicity: evidential cultures in the kava safety debate. Soc Stud Sci.2011; 41: 361-384.
  12. Teschke R, Genthner A, Wolff A. Kava hepatotoxicity: comparison of aqueous, ethanolic, acetonic kava extracts and kava-herbs mixtures. J Ethnopharmacol. 2009; 123: 378-384.
  13. Kormann EC, de Aguiar Amaral P, David M, Eifler-Lima VL, Filho VC, et al. Kavain analogues as potential analgesic agents. Pharmacol Rep. 2012; 64: 1419-1426.
  14. Li Y, Mei H, Wu Q, Zhang S, Fang J-L, et al. Methysticin and 7,8-dihydromethysticin are two major kavalactones in kava extract to induce CYP1A1. Toxicol Sci.2011; 124: 388-399.
  15. Shaik AA, Hermanson DL, Xing C. Identification of methysticin as a potent and non-toxic NF-kappaB inhibitor from kava, potentially responsible for kava’s chemo preventive activity. Bioorg. Med Chem Lett. 2009; 19: 5732-5736.
  16. Tang X, Woodward T, Amar S. A PTP4A3 peptide PIMAP39 modulates TNF-alpha levels and endotoxic shock. J Innate Immun. 2010; 2: 43-55.
  17. Galvao J, Davis B, Tilley M, Normando E, Duchen MR, et al. Unexpected low-dose toxicity of the universal solvent DMSO. FASEB J. 2014; 28: 1317-1330.
  18. Tang X, Alasiri M, Bamashmous A, Aljahdali B, Cao F, et al. The involvement of Kav001 in inhibition of LPS/P. gingivalis-induced. J Cell Biochem. 2018; 119: 6072-607
+